Prediction Algorithm for Proteasomal Cleavages

PAProC's location within the MHC class I antigen processing pathway.


User information


Page content:  
Proteasome model    
Proteasome species    
Sequence name    
Submitted amino acid sequence    
Substitute X    
Minimal length of sequence    
Output style    
Epitope-destroying cleavages
Interpretation of PAProC results for the generation of CD8+ T cell epitopes


Our proteasome model
Proteasomes, major proteolytic sites in eukaryotic cells, play an important part in major histocompatibility class I (MHC I) ligand generation and thus in the regulation of specific immune responses. Their cleavage specificity is of outstanding interest for this process.
We constructed computer-based theoretical model proteasomes for the cleaving of substrate proteins by yeast and human 20S proteasomes. They were trained by an evolutionary algorithm with the experimental 20S proteasome cleavage data.

The basic assumptions for our model are:
  • In determing whether to cut or not, the proteasome inspects only a small neighborhood P6 ... P1 | P1', P4' of the prospective cleavage site
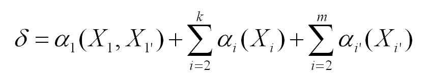
  • A main effect results from the affinity of the pair of amino acids in the P1 and P1' positions to the active subunits in the proteasome. This effect is modeled by an affinity parameter alpha1(X1, X1'). The value - alpha1(X1, X1') could be interpreted as an affinity of the pair to the active sites of proteasome.
  • Each of the positions Pi, i=2,...,6 (or Pi', i=4) exerts an affinity alphai(Xi) (alphai'(Xi')) towards the prospective cut which depends on Xi (Xi') but not on the amino acids at the other positions. The affinities can be positive, negative, or zero.


  • The model is additive: The total affinity at the position considered is:


  • The probability of a cut depends only on the total affinity delta. The cutting process is deterministic: the probability of a cut is equal to 1 if delta <= 0 and equal to 0 if delta > 0 (mere normalization). This assumption excludes the occurrence of overlapping fragments.


  • A stochastic hill-climbing algorithm was used to train the network.

    The affinity parameters of the model, which decide for or against cleavage, correspond with the cleavage motifs determined experimentally.

    Proteasome species
    Based on different sets of experimental data as learning data, we received eight different affinity parameter sets ("model proteasomes") which can be chosen:
  • Type I: Human erythrocyte proteasome, based on cleavages in enolase
  • Type II: Human erythrocyte proteasome, based on cleavages in enolase and ovalbumin peptides
  • Type III: Human erythrocyte proteasome, based on cleavages in enolase and other ovalbumin peptides
  • The yeast proteasomal mutants are denoted by the missing active unit, all yeast model proteasomes are based on cleavages in enolase.


  • Sequence name
    The sequence name can contain any letters and numbers plus the characters "_" and "-". Example for non-permissible characters: spaces, /, (, ), [, ], etc. The sequence name is only used for your own information.
    If you submit non-permissible characters with your sequence, you receive the following error message: We are sorry, the input (for example the name of the sequence) seems to contain illegal characters. It may be a problem with ä, ö, ü for example or an empty space within the name of the sequence, which is not allowed for reasons of security. Also most of the special (i.e. non-alphabetical or non-numerical) characters are not allowed (neither in the name nor in the sequence itself). If this is not the case, please send an email to christina.kuttler@uni-tuebingen.de.

    Submitted amino acid sequence
    Amino acid sequences must be entered in the one-letter code. PAProC will not tolerate additional characters in the sequence, except for spaces, numbers and newlines, as found in standard sequence formats such as the FASTA- or original SWISS-PROT-format. Capital letters or small letters can be used without any difference. However, the output of the sequence will always be in capital letters.
    If you submit non-permissible characters with your amino acid sequence, you receive the following error message: We are sorry, the sequence input seems to contain illegal characters. Maybe you used a character that does not describe an amino acid ? . If this is not the case, please send an email to christina.kuttler@uni-tuebingen.de.

    Substitute X
    The letters "X" and "x" can be used as a "wildcard", in order to substitute otherwise empty amino acid positions (for example when your sequence is too short, see minimum length). Note that "X/x" has a neutral (zero) effect on the cleavage decision.

    Minimum length of submitted sequence
    Please note that it only makes sense to test/submit a sequence of at least 10 amino acids in length. This is to avoid boundary effects in the model which is based on a window of 6 amino acids to the left (N-terminal) and 4 amino acids to the right (C-terminal) of a prospective cleavage site. If you want to test a shorter sequence, you can fill in extra "X" at both ends of the sequence (see Substitute X ).

    Output style
    For the results, you can choose between a) a short output format, b) a long output format and c) a format only yielding the predicted cleavage positions as a list of numbers.
    a) The short format is very graphical and shows the cleavages inserted into the submitted sequence as red, vertical bars. The number of amino acids per line can be chosen in this format ( short form example ).
    b) The long format will give more detailed information in a table on cleavage positions and approximate cleavage strength. For more details check the example for long form (use your Browser's back button to return).
    c) List of predicted cleavage positions: Numbering starts with the N-terminus of the submitted sequence as position 1. The list contains all positions of predicted P1-residues, i.e. amino acid residues directly N-terminal ("to the left") of the cleavage site. For nomenclature see the picture

    Epitope-destroying cleavages
    Important note: PAProC does not predict fragments, but cleavage sites. The cleavage sites predicted by PAProC are most likely not all used in the same substrate molecule. Different combinations of cleavage sites will be used in different individual substrate molecules, thus producing the typical overlapping fragment spectrum known from proteasomal digestion experiments ( example ). It is well-established that the existence of possible proteasomal cleavage sites within CTL-epitopes does not necessarily abrogate the presentation of these epitopes on the cell surface. Therefore, epitope-destroying cleavages predicted by PAProC are not necessarily executed in each single substrate molecule, thus leaving enough CTL-epitope intact for presentation by MHC class I.

    Interpretation of PAProC results for the generation of CD8+ T cell epitopes
    Most PAProC users are interested in proteasomal generation of CD8+ T cell epitopes. We would therefore like to give some help for the interpretation of PAProC predictions assessing the generation of such epitopes. According to current literature, proteasomes are crucial in the generation of the correct C-termini of CD8+ T cell epitopes (Craiu et al., 1997; Stoltze et al., 1998), but not so much for their N-termini, which probably can be trimmed to the correct size by cytosolic or ER-resident proteases. Together with what is mentioned above in the paragraph on epitope-destroying cleavages, we therefore recommend the following rules for the interpretation of the prediction results by PAProC:
    1. Check for the prediction of the correct C-terminal cleavage (This is by far the most critical criterium for the generation of a CD8+ T cell epitope.)
    2. Check for epitope-destroying cleavages (This criterium is far less critical. However, when comparing two cases in which the C-termini are predicted to be generated - e.g. the processing of epitopes containing point mutations or cleavages of constitutive vs. immunoproteasome - , this criterium can become decisive.


    To the submission form

    Last update: 13.4.2005

    More detailed information about this program can be found in the following publications:
    C. Kuttler, A.K. Nussbaum, T.P. Dick, H.-G. Rammensee, H. Schild, K.P. Hadeler, An algorithm for the prediction of proteasomal cleavages, J. Mol. Biol. 298 (2000), 417-429 , and
    A.K. Nussbaum, C. Kuttler, K.P. Hadeler, H.-G. Rammensee, H. Schild, PAProC: A Prediction Algorithm for Proteasomal Cleavages available on the WWW, Immunogenetics 53 (2001), 87-94
    For comprehensive background information, please refer to From the test tube to the World Wide Web - The cleavage specificity of the proteasome (A.K. Nussbaum, Dissertation, University of Tuebingen, Germany, 2001).
    The use of PAProC is restricted to non-commercial purposes.
    Inner surface of the yeast 20S proteasome; yellow: inhibitors bound to the three active sites [Groll et al. (1997), Nature].